杭州海达医药化工有限公司

产品目录>>原料药>>泰诺福韦二吡呋酯富马酸

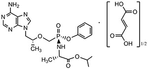
泰诺福韦二吡呋酯富马酸

[英文名]:Tenofovir Alafenamide Fumarate

[英文化学名]:L-Alanine, N-[(S)-[[(1R)-2-(6-amino-9H-purin-9-yl)-1-methylethoxy]methyl]phenoxyphosphinyl]-, 1-methylethyl ester, (2E)-2-butenedioate (2:1)

[中文化学名]:泰诺福韦艾拉酚胺富马酸

[结构式]:

[分子式]:2(C21H29N6O5P).C4H4O4

[分子量]:

[CAS NO.]: 1392275-56-7

杭州海达医药化工有限公司 版权所有(C)2012 网络支持 中国化工网 全球化工网 生意宝 著作权声明 浙ICP备2020041539号-2
Copyright(C)2012,Hangzhou HETA Pharm & Chem Co.,Ltd. All Rights Reserved. Supported by ChemNet ChinaChemNet Toocle Copyright Notice